Skip to main content

Empowerment and Black Deaf Persons: Sociolinguistic Issues in the Black Deaf Community

Empowerment and Black Deaf Persons
Sociolinguistic Issues in the Black Deaf Community
  • Show the following:

    Annotations
    Resources
  • Adjust appearance:

    Font
    Font style
    Color Scheme
    Light
    Dark
    Annotation contrast
    Low
    High
    Margins
  • Search within:
    • Notifications
    • Privacy
  • Project HomeEmpowerment and Black Deaf Persons
  • Projects
  • Learn more about Manifold

Notes

table of contents
  1. Cover
  2. Title
  3. Copyright
  4. Contents
  5. Foreword to the Reissued Edition
  6. Foreword to the Original Edition
  7. Let’s Get Busy: Empowerment and Development Are the Keys
  8. Cousin Hattie’s Sister’s People: The Ties Between Identity and Leadership Within the Black Deaf Community
  9. A Minority Within a Minority Within a Minority: Being Black, Deaf, and Female
  10. Minority Persons With Disabilities: Equal to the Challenges of the 21st Century
  11. Sociolinguistic Issues in the Black Deaf Community
  12. Sociolinguistic Aspects of the Black Deaf Community
  13. Black, Deaf, and Mentally Ill: Triple Jeopardy
  14. Advising Black Students: Enhancing Their Academic Progress
  15. Black Deaf People in Higher Education
  16. Personal Perspectives on Empowerment
  17. The Role of a Special School for Deaf Children in Meeting the Needs of Black and Hispanic Profoundly Deaf Children and their Families
  18. A Story About a Group of People
  19. Panel Discussions

Sociolinguistic Issues in the Black Deaf Community

Clayton Valli, Ruth Reed, Norman Ingram, Jr., and Ceil Lucas

Gallaudet University

Acknowledgments

The research reported here is part of an ongoing study of language contact in the American Deaf community that has been generously supported by the Gallaudet Research Institute and by the School of Communication at Gallaudet University since 1986. We gratefully acknowledge that support, as well as that of our participants and judges. We also thank Virginia Wulf for the preparation of the manuscript. Portions of this research are reported in C. Lucas (Ed.), The Sociolinguistics of the Deaf Community (1989). A full account of the study entitled Language Contact in the American Deaf Community will be published in 1992 by Academic Press.

Introduction

An important sociolinguistic issue in the American Deaf community concerns the outcome of language contact. Specifically, there exists a kind of signing that results from the contact between American Sign Language (ASL) and English that exhibits features of both languages. It has been claimed (Woodward, 1973; Woodward & Markowicz, 1975) that this kind of signing is a pidgin and is the result of Deaf-hearing interaction. The studies upon which these claims are based suffer from either a lack of data or data that are not interactional, as well as from the failure to include Black signers. This paper is part of an on-going study of language contact, the overall goals of which are to provide a linguistic description of contact signing based on naturalistic data and to re-examine claims that it is a pidgin. In this paper, we will describe the data collection methodology used to elicit shifting between ASL and contact signing, in addition to the language use of Black signers.

Two other sociolinguistic issues in the Black Deaf community have to do with identity and education. During the interviews, the participants were asked to discuss how they identified themselves: as Black first and Deaf second, or as Deaf first and Black second, and why. They were also asked to discuss whether they thought Black Deaf individuals have the same educational opportunities as white Deaf individuals.

These questions can be seen as representing sociolinguistic issues since language choice often plays a central role in identity, and perceptions and realities about equality in education may have a lot to do with the use of language in education (Kannapell, 1989). In this paper, we will present a summary of the participants’ comments on identity and education and discuss the trends that emerged from these comments. Finally, we will discuss the implications of our findings.

Eliciting Contact Signing

It has been widely observed that members of the American Deaf community, be they Deaf or hearing, do not always sign American Sign Language (ASL).1 There exists a kind of signing that results from the contact between ASL and English that exhibits features of both languages.2 It has been claimed that this kind of signing is the result of Deaf-hearing interactions and is a pidgin (Woodward, 1973; Woodward & Markowicz, 1975; Reilly & McIntire, 1980). The label PSE (Pidgin Sign English) is widely used in the Deaf community to describe this kind of signing. These claims depend upon the integrity of videotaped data; however, a notable problem with earlier descriptions concerns lack of data or problems with the data used to back up claims about the linguistic nature of the signing being described. Neither in Woodward (1973) nor in Woodward and Markowicz (1975) is there any description of the sample that serves as the source for the list of features proposed for PSE. Woodward (personal communication, 1988) has indicated that the description of PSE was based in part on a sample from his dissertation: 140 individuals, ranging in age from 13 to 55, with 9 Black signers and 131 white signers. But these data are still problematic as the basis for a description of language contact because (1) the data were elicited by a hearing researcher on a one-to-one basis with the use of a questionnaire and were not interactional; and (2) the signers providing these data range from Deaf native ASL signers to hearing non-native signers, making it virtually impossible to separate features of the language produced that are a function of language contact from features that are a function of second-language acquisition. For example, Woodward and Markowicz (1975) claim that the ASL rule of negative incorporation can occur in PSE but that “deaf signers use more negative incorporation than hearing signers” (p. 18). This may indeed be true, but it might also reflect a difference in language competence (i.e., native signers knowing and competently using a rule that non-native signers may be in the process of learning), rather than a reflection of language contact between hearing and Deaf signers.

It seems that Deaf language production and hearing language production in a language contact situation are necessarily different by virtue of differences in language acquisition backgrounds. Also, the features of contact signing (PSE) cannot be described based on data that not only combine native and non-native signers’ productions but also are not interactional.

Researchers have certainly been aware of the need to distinguish between native and non-native production. In fact, Lee (1982) reports that Stokoe (personal communication) suggests that there may in fact be two PSE continuums: a PSEd produced by deaf signers and a PSEh produced by hearing signers. PSEd is likely to have more ASL grammatical structures and to omit English inflections. PSEh tends to have greater English influence and rarely approaches the ASL extreme of the continuum (Lee, 1982, p. 131). The need for separation of data source is thus recognized, but this need is not reflected in the actual descriptions of PSE that are produced. Thus, Reilly and McIntire (1980) base their description of the differences between ASL and PSE on videotapes of a children’s story that was signed by four informants. Three of these informants were hearing. Three informants have Deaf parents. Two of the three hearing informants did not use sign in childhood. The instructions for different versions of the story were given either in ASL or, as Reilly and McIntire (1980) describe, “in PSE and spoken in English simultaneously … or interpreted, i.e., signed as they were being read aloud by the investigator” (p. 155).

Figure 1. The Composition of the Black Dyads and Triads

ParticipantABC
Dyad 7Deaf at age 3, hearing family, mainstreamed, then residential school at 9Born deaf, hearing family, residential school
Dyad 8Born deaf, hearing family, mainstreamed, then residential school at 11Born deaf, hearing family, mainstreamed then MSSD at 13
Dyad 9Born deaf, hearing family, residential schoolDeaf at 7 months, hearing family, mainstreamed, then residential school at 10
Dyad 10Born deaf, hearing family, mainstreamed, then residential school at 10Hard of hearing, became deaf at 15, mainstreamed, then residential school at 12
Triad 11Early onset, hearing family (deaf sister), mainstreamed, then KDES at 11Born deaf, hearing family, residential schoolBorn hearing, deaf at 8 1/2
Triad 12Born deaf, hearing family, residential school at 4Born deaf, hearing family, KDES at 6Born deaf, hearing family, KDES at 3

Although there is an awareness of the need to control for the variable of signer skill, and the description of PSE is based on videotaped data, the problem of separating the consequences of language contact from the consequences of second language learning arises in Reilly and McIntire’s (1980) study. In their conclusion, they observe:

It seems that there is a gradation from structures that are more obvious to the language learner (classifiers and directional verbs) to those that are more and more subtle (sustained signs and facial and other non-manual behaviors). This gradation is reflected in differential usage by different signers. (p. 183)

Once again, we encounter the “apples and oranges” dilemma, resulting from descriptions of PSE based on sign production of signers with different levels of competence and ages of acquisition. Furthermore, data collection in analogous spoken language situations does not typically yield naturalistic data, and accordingly, it is not clear that the data upon which Reilly and McIntire’s description of PSE is based bear any resemblance to language production in a natural language contact situation. It is fair, then, to say that studies claiming to describe the linguistic outcome of language contact in the American Deaf community to date may not reflect the actual situation, owing either to a lack of data or problematic data.

Figure 2. The Structure of the Interviews

1st Interview2nd Interview
Situation 1: With Deaf interviewer (Interruption)White InterviewerBlack Interviewer
Situation 2: Informants left aloneWhite InterviewerBlack Interviewer
Situation 3: With hearing interviewer (Interruption)
Situation 4: Informants left aloneWhite InterviewerBlack Interviewer
Situation 5: With Deaf interviewer

Clearly, any study that proposes to describe the linguistic outcome of language contact in the American Deaf community should, at the very least, take its departure from data collected in naturalistic interactional settings that reflect actual language contact situations as closely as possible.3 Toward this end, 10 dyads and two triads of informants were formed in our study, for a total of 26 individuals. Six of the dyads were composed of white signers; the four remaining dyads and the two triads were composed of Black signers. In this paper we will focus on the Black signers. Figure 1 shows the composition of the Black dyads and triads.

All of the participants in each dyad and triad knew each other, and all of the participants described themselves as competent in both ASL and English. However, we draw a distinction between the participants in groups 7, 8, 9, and 10 and the participants in groups 11 and 12. In groups 7, 8, 9, and 10, all of the participants are from hearing families, and only two were early learners of ASL, having entered residential schools as small children. (In fact, participant 9A has hearing parents who worked in the residential school and signed.) The other six participants in these groups were all mainstreamed and did not enter residential schools until late childhood or early adolescence, making them relatively late learners of ASL. On the other hand, one of the participants in groups 11 and 12 is from a Deaf family, and the remaining five participants were all early learners of ASL.4

During the interviews, video cameras were present, but at no point were the technicians visible. Our efforts to carefully control the interview situations reflect our recognition of the distinction between Deaf people and hearing people. Informal observational and anecdotal evidence suggests that this distinction is an important variable in the outcome of language contact in the American Deaf community. Deaf individuals not only sign quite differently with other Deaf individuals than with hearing individuals, but they may initiate interactions in one language and radically switch when the interlocutor’s ability to hear is revealed. For example, a Deaf native ASL user may initiate an interaction with another individual whom he believes to be Deaf or whose audiological status has not been clarified. The latter participant may well be a near-native user of ASL. Once the latter’s hearing ability becomes apparent, however, it is not unusual for the Deaf participant to automatically switch “away from ASL” to a more English-based form of signing. Code choice is thus sensitive to the ability versus inability of participants to hear, and this distinction is carefully attended to in our study. In particular, the interviewers were very careful to indicate whether they were hearing or Deaf to the participants. Furthermore, there is some research evidence that Black signers’ signing varies as a function of their communication partner (Aramburo, 1989). Each Black dyad and triad interacted with not two interviewers (Deaf and hearing), but four, as follows: Black Deaf, Black hearing, white Deaf, and white hearing. Each Black dyad and triad participated in two interviews, on separate days. The structure of the interviews is shown in Figure 2.

Figure 3. The Interview Questions

Interview #11. In a public place, it is okay for a person to offer to help you when they find out you are deaf. Agree or disagree?
2. The hearing children of Deaf parents are members of Deaf culture. Agree or disagree?
3. Residential schools are better than mainstreaming. Agree or disagree?
Interview #21. Jane Bassett Spilman was right when she remarked that “Deaf people are not ready to function in the hearing world.” Agree or disagree?
2. Most Black Deaf people have the same educational opportunities as White Deaf people. Agree or disagree?
3. Most Black Deaf people are Black first and Deaf second. Agree or disagree?
Groups 11 & 124. What do you think of the current communication controversy on campus?

Each interview consisted of a discussion of several broad topics of interest to members of the Deaf community and to the Black Deaf community, as seen in Figure 3. Statements were presented and participants were asked whether they agreed or disagreed, and why.

It was predicted that (1) the situation with the Deaf interviewers would induce ASL, but the relative formality of the situation and the presence of a stranger might preclude it; (2) the situation with the hearing interviewers would induce a shift away from ASL to contact signing; and (3) the informants alone with each other would elicit ASL.5

The Outcome of Language Contact

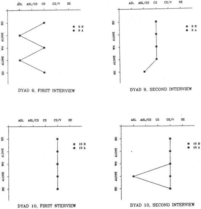
Figures 4 and 5 show the patterns of language use for the Black dyads and triads. As with the white participants, the Black participants used language differently, depending on the situation. For example, in Dyad 7, participant A began with contact signing in the presence of the Black Deaf interviewer, signed more ASL when the dyad was left alone, moved back to contact signing when the white hearing interviewer appeared, and switched to ASL when the Black Deaf interviewer reappeared. This in contrast to 7B, who, while describing herself as a skilled ASL user and demonstrating ASL skill in informal settings, never used ASL during the interview, alternating between contact signing without voice (cs) and contact signing with voice (csv). Similar patterns of language use emerged for Dyads 8, 9, and 10 and for Triads 11 and 12.

Figure 4. Patterns of Language Use for Dyads 7 and 8

Figure 4. Patterns of Language Use for Dyads 7 and 8

Figure 4 Patterns of Language Use for Dyads 9 and 10

Figure 4 Patterns of Language Use for Dyads 9 and 10

Figure 5. Patterns of Language Use for Triads 11 and 12

Figure 5. Patterns of Language Use for Triads 11 and 12

As we remarked earlier, the Black signers and the white signers made different language choices depending on the situation. However, we did notice some differences between the Black signers and the white signers, and among the Black signers themselves. For example, the signers in Dyads 7, 8, 9, and 10 showed more convergence than did the white signers (Valli, 1988). That is, the two members of the dyad tended to make the same choices and to mirror each other’s behavior. The signers in Dyads 7, 8, 9, and 10 also used a lot less ASL than the white signers; they used some ASL with the Black Deaf and the white Deaf interviewers, but none at all with the hearing interviewers. However, they used no signed English; with the hearing interviewers, they used contact signing, regardless of the race of the interviewer.

The signers in Triads 11 and 12 made different choices. They showed less convergence than in Dyads 7, 8, 9, and 10, and they were more like the white signers in that three participants may have been using two or three different modes simultaneously. For example, in Triad 11, the interview began with the white Deaf interviewer using ASL. Participant 11B used ASL; 11A used ASL with some contact signing, but 11C began with contact signing and did not use ASL until the group was left alone for the second time. The participants in Triad 11 and 12 also used a lot more ASL than the participants in Dyads 7, 8, 9, and 10. Like the white participants, there were two Black participants who used ASL all the way through one interview with the white interviewers. With Triads 11 and 12, ASL was found in all situations except with the Black hearing interviewers.

To account for the differences between Dyads 7, 8, 9, and 10 and Triads 11 and 12, we will recall that six of the eight participants in Dyads 7, 8, 9, and 10 learned ASL as adolescents, as opposed to the participants in Triads 11 and 12, all but one of whom are native or early learners of ASL. The behavior of the participants in the triads paralleled the behavior of the white participants, all of whom are native or early learners, and we suggest that age of acquisition may play some role in sociolinguistic choices. In general, the native or early learners, be they Black or white, seem to be more comfortable using ASL with hearing people, and in situations where more than one mode is being used.

In keeping with our prediction, many of the informants produced a form of signing that is other-than-ASL with the hearing interviewer—either contact signing or signed English with voice. In some cases, the informants produced ASL with the Deaf interviewer and while alone with each other, as expected. However, some unexpected results emerged. For example, two informants used ASL with the hearing interviewer, contrary to a widely held belief that Deaf native signers automatically switch away from ASL in the presence of a non-native signer. Furthermore, two of the informants (11B and 12A) used ASL consistently across all situations in one interview. One might predict that both of these informants come from Deaf families; however, both are from hearing families. Another unexpected result is the production of contact signing with the Deaf interviewer and when the informants were left alone; the Deaf interviewers consistently signed ASL, and it was predicted that the informants would produce ASL in this situation and when left alone. These results are particularly noteworthy given another widely held belief that Deaf native signers will consistently sign ASL with each other if no hearing people are present.

The observations on the overall pattern of language use during the interviews are summarized in Figures 6A and 6B. These observations appear to challenge the traditional perspective on language contact in the American Deaf community. For example, it is traditionally assumed that contact signing (known as PSE) appears in Deaf-hearing interaction for the obvious reason that the hearing person might not understand ASL. On the extreme is the position that the very purpose of contact signing is to prevent hearing people from learning ASL (Woodward & Markowicz, 1975). More measured approaches simply describe contact signing as the product of Deaf-hearing interaction. Little is said, however, about the use of contact signing in exclusively Deaf settings. Although the need for comprehension might explain the occurrence of contact signing in Deaf-hearing interaction, it is clearly not an issue in portions of the interviews described here, as all of the participants are native or near-native signers and, in some instances, sign ASL with each other. The choice to use contact signing with other Deaf ASL natives, then, appears to be motivated by sociolinguistic factors. Two factors identified in the present study are the formality of the interview situation (including the presence of videotape equipment) and the participant’s lack of familiarity, in some cases, with both the interviewer and the other informant.

Figure 6A. Summary of Findings on Language Use

I.Participants who learned ASL as adolescents (Dyads 7, 8, 9, and 10):

•show switching behavior that indicates sensitivity to the interview situation, like white participants.

•in general, show more convergence than white participants; two people in an interview tend to do the same thing.

•use ASL much less than white participants—they use it only occasionally with Black Deaf, with white Deaf, and when they are alone; however, they do not use signed English either.

II.Participants who learned ASL as their native language or as children (Triads 11 and 12):

•show switching behavior like all other participants.

•show less convergence than Dyads 7, 8, 9, and 10; they are more like the white participants in their divergence (all white participants are early or native signers).

•use ASL much more than Dyads 7, 8, 9, and 10; they use it in all situations except with the Black hearing interviewer.

Figure 6B. Summary of Findings on Language Use

What we expected:What we did not expect:
Contact signing with hearing people.Contact signing with Deaf people.
ASL with Deaf people.ASL with hearing people.
Two or three different modes at once.
Apparent effect of age of acquisition on sociolinguistic choices.

The videotaped data also clearly present counter-evidence to the claim that Deaf people never or rarely sign ASL in the presence of hearing people, as two of the informants chose to sign ASL throughout their respective interviews. This choice may be motivated by other sociolinguistic factors, such as the desire to establish one’s social identity as a bona fide member of the Deaf community or cultural group, a desire that may supersede considerations of formality and lack of familiarity with one’s cointerlocutor(s). Clearly, different sociolinguistic factors motivate the language choices of different individuals. Indeed, it is this interrelationship between language attitudes and language choices that prompted Stokoe (1969) to describe the language situation in the Deaf community as diglossic—that is, strict ASL in some contexts and a more English-like signing in others, with no overlap. In re-examining this characterization of the language situation in the Deaf community as diglossic, Lee (1982) states that although “there is indeed variation [in the deaf community] … code-switching and style shifting rather than diglossia appear to be the norm” (p. 127). Three of Ferguson’s (1959) nine criteria for diglossia are linguistic (lexicon, phonology, and grammar), while six are described by Lee as sociolinguistic (acquisition, literary heritage, standardization, prestige, stability, and function). As she (Lee, 1982) observes, “I have found none of the nine characteristics actually consistent with diglossia, at least in some parts of the linguistic community” (p. 147).

Although it is not clear at this point what the roles of code-switching and style shifting are in the Deaf community, it is clear from Lee’s re-examination of Stokoe’s (1969) work and from the present data that the language situation in the Deaf community is not strictly diglossic. Clearly, some of the informants in our study saw ASL as inappropriate for any part of the interview. Other informants saw ASL as appropriate only when no interviewer was present. The claim that ASL is regarded as appropriate only when the interviewers are absent is further supported by the informants who switched away from ASL to contact signing when the Deaf interviewer reappeared at the end of the interview. Any attempt, however, to claim that this is evidence of diglossia is quickly thwarted by the informants who used ASL in all of the interview situations, with no apparent regard for formality, familiarity, or audiological status of the cointerlocutor(s).

Issues of Identity and Education

As we mentioned earlier, the two most pertinent questions used during the interviews were:

•Most Black Deaf people say that they are Black first and Deaf second—do you agree or disagree?

•Black Deaf people have the same educational opportunities as white Deaf people—do you agree or disagree?

Figures 7 and 8 show a summary of the participants’ responses to both questions, and Figure 9 shows a synthesis of the issues that consistently emerged during the discussion of these two questions. In terms of identity, the Black Deaf participants demonstrated the same perspective as the white participants on deafness as a cultural event, as opposed to a perspective on deafness as a medical emergency. Several participants identified themselves as Deaf first on the basis of socializing patterns and language use, and clearly saw deafness as a matter of identity and not of pathology. At the same time, there was a variability in the self-descriptions, similar to the variability found by Edwards and Chisholm (1987) in a study of language, multiculturalism, and identity in Canada. There were two very striking issues that consistently emerged. One was what we will call “inside vs. outside.” That is, many of the participants stated that they identified themselves as Deaf first, but they were aware that most people in the outside world would identify them as Black first because of the “invisibility” of deafness. The second was the issue that can be summarized as “it depends on whom I’m with.” Some participants said that in a Deaf group, they identified as Black first, but that in a hearing group, they identified as Deaf first. Others said that with white people, they felt Deaf first, but with a Black group, they felt Black first. This brings to mind a study done by Broch (1987) on ethnicity in a multiethnic community in Indonesia. Based on the observation that brothers and sisters in the same community may choose to stress different ethnic identities, Broch proposed the concept of dual ethnicity that may be manifested through language. He suggests that “ethnicity should not be regarded as an imperative status. Rather ethnicity is situational and enables the social actors alternative options for interactions … Ethnic identifiers are openly manipulated, and relate to various social situations people confront in their daily lives” (p. 19). At this point, we cannot say whether Black Deaf individuals perceive their dual ethnicity as alternative options for social interaction, nor do we have enough data to adequately describe the role of language in dual ethnicity in the Deaf community. However, it would seem to be an extremely interesting and fruitful area for further research.6

Figure 7. Summary of Comments on Identity

•I’m Black first. At the residential school, I felt Deaf first. When I came to Gallaudet, I learned about Blackness, and about discrimination—maybe color is more important than Deafness.

•I feel that I’m Deaf, but other people see me as hearing (before they know I’m deaf), so they see me as Black.

•Both are important: Black and Deaf.

•Black first, but I’m proud to be Deaf too.

•Some feel they are Deaf first and Black second, but I’m Black first and Deaf second because people see my color and then realize that I’m Deaf—color is really powerful.

•Now, I socialize a lot with Deaf people, and I feel Deaf first—people accept me as I am.

•I’m Deaf—I grew up Deaf, went to residential school, have many Deaf friends, my parents sign (they work at a residential school); I know I’m Black, but I’m Deaf first.

•50/50. I think of myself mostly as Deaf; the outside world identifies me as Black. To the Deaf group, I feel Black; to hearing, I feel Deaf. Before, I thought Black first; later, Deaf first. Now, 50/50.

•I’m Black first; I’m proud to be Black. Being Deaf is frustrating, not a matter of pride.

•If I’m with a Deaf group, then I’m Deaf Black; if I’m in a Black group, then I’m Black and Deaf too.

•Black. My color is Black and I socialize with Deaf people.

•Black first. If I had been raised equally Black and Deaf.

Figure 8. Summary of Comments on Education

•If Blacks socialize with whites, they get a good education; Blacks alone, not so good. Blacks involved with whites know more, and Blacks in a Black school are limited.

•Whites have more.

•Education is better than before.

•White teachers teach white kids more, and they don’t teach Black kids enough; white teachers focus on white kids and ignore Black kids.

•Black and white are no different; it depends on where they grew up and their education. If parents have a weak background, and they don’t understand about Deafness, then the kids have a worse education.

•I can’t see any difference because in my school, Blacks and whites were together.

•Blacks have no role models, no leadership. White teachers are paid better than Black. White teachers have low expectations: “You can’t because you’re Black.” They made me think I don’t have potential, that I have limitations, and they put me in low classes. With Black teachers, I realized that I can be a leader.

•Equal.

•Equal but Black students have to be two times better than white students.

Figure 9. Identity and Education Issues That Consistently Emerge

Identity:

•As with white Deaf, awareness of deafness is a cultural event as opposed to a medical emergency

•There is much variability in self-descriptions (Edwards & Chisolm, 1987)

•Inside vs. outside perspective: how I see myself vs. how others see me

•“It depends on who I’m with”—identity may shift depending on with whom Black Deaf persons are socializing

•Knowledge of Black history is a factor in Black pride and identity

•The role of the residential school in Deaf identity

Education:

•Socializing patterns: Black with white vs. Black with Black

•White teachers’ expectations and focus

•Equal, but … Black students have to be twice as good as white students

As for education, the participants generally agreed that the educational opportunities available to Black Deaf people were not comparable to those available to white Deaf individuals. It is interesting to note that of the two individuals who saw no difference in educational opportunities, one attended a totally integrated residential school and the other, while attending a Black residential school, has parents who sign and had very early access to language. In fact, that participant’s explanation for inequity in education had to do with lack of parental knowledge about deafness.

Implications of the Findings

At this point, we would suggest that our study provides a data-based picture of language use in the American Deaf community, and that such a picture can be useful in policy decisions concerning empowerment in general and education and interpreting in particular. For example, it is clear from our data that language use in the Deaf community is complex and diverse, not monolithic and uniform. An awareness of that complexity and diversity may lead to an improved understanding of sociolinguistic competence—competence that can serve as a foundation for further learning. That is, many of the participants in our study clearly feel that different language choices are appropriate for different situations; they display sociolinguistic competence in their situationally appropriate language use. Educators can use that competence to build other language skills, such as the appropriate use of formal and informal registers in written English, or the use of formal ASL in a job interview. Interpreter trainers can use their awareness of the complexity and diversity to prepare interpreters who are able to assess and respond appropriately to any interpreting situation. Likewise, an open awareness of the dual issues could inform curriculum development and teacher training. Several participants stated, for example, that a knowledge of Black history was a major factor in their identity as Black first; similarly, the one participant who identified himself as Deaf first went to a residential school and has parents who were employed at the school, signed, and had an awareness about deafness. It would seem that curricula could include information about Black history and Black culture and about Deaf history and the Deaf community. It would seem that teachers could only benefit from awareness of dual ethnicity.

At the end of our presentation at the conference, a member of the audience approached us to say that he had found the presentation interesting, and that it was a good start. That is precisely how we view this paper. The sociolinguistic issues that we discuss—language use, identity, and education—are among the issues that deserve and, it is to be hoped, will receive more attention by researchers and educators.

About the Presenters

Clayton Valli received his B.A. in social psychology from the University of Nevada in Reno in 1978 and his M.A. in linguistics from Gallaudet in 1985. Currently, he is working toward his Ph.D. in linguistics at the Union Graduate School. He is an instructor in Gallaudet’s Department of Linguistics and Interpreting, serves as a consultant/researcher for a variety of sign language research projects, and gives workshops and lectures related to ASL structure, Deaf culture, and ASL poetry.

Ruth Reed received her B.A. in sociology and is employed as a teacher aide in the Special Opportunity Program at Kendall Demonstration Elementary School. In addition, she teaches in Gallaudet’s Programs in Adult and Continuing Education.

Norman T. Ingram, Jr. was born deaf in St. Louis, MO, and was raised in Michigan. He attended the Michigan School for the Deaf until he graduated in 1970, and received his B.A. from Gallaudet in 1977. For the last 16 years, Mr. Ingram has been employed as a carpenter at Gallaudet University. He is married to the former Catherine Lennon. Mr. Ingram worked with Ruth Reed, Clayton Valli, and Dr. Ceil Lucas as an interviewer of Black Deaf signers for their project on Black Deaf culture in the Black community.

Ceil Lucas has taught in the Department of Linguistics and Interpreting at Gallaudet University since 1982. Her major areas of interest include the structure of American Sign Language and the sociolinguistics of the Deaf community. She has edited The Sociolinguistics of the Deaf Community (1989, Academic Press), Sign Language Structure: Theoretical Issues (1990, Gallaudet University Press), and ASL PAH! Deaf Students’ Perspectives on Their Language (1992, Linstok Press, co-editors Clayton Valli, Esme Farb, and Paul Kulick), and, with Clayton Valli, co-authored Linguistics of ASL: A Resource Text for ASL Users (1992, Gallaudet University Press; student text, teacher’s manual, videotape) and Language Contact in the American Deaf Community (1992, Academic Press).

References

Aramburo, A. (1989). Sociolinguistic aspects of the black deaf community. In C. Lucas (Ed.), The sociolinguistics of the deaf community (pp. 103–119). San Diego: Academic Press.

Broch, H. (1987). Ethnic differentiation and integration: Aspects of inter-ethnic relations at the village level on Bonerate. Ethnic Groups, 7, 19–37.

Edwards, J., & Chisholm, J. (1987). Language, multiculturalism, and identity: A Canadian study. Journal of Multilingual and Multicultural Development, 8(5), 391–408.

Ferguson, C. (1959). Diglossia. Word, 15, 325–340.

Johnson, R., & Erting, C. (1989). Ethnicity and socialization in a classroom for deaf children. In C. Lucas (Ed.), The sociolinguistics of the deaf community (pp. 41–83). San Diego: Academic Press.

Kannapell, B. (1989). An examination of deaf college students’ attitudes toward ASL and English. In C. Lucas (Ed.), The sociolinguistics of the deaf community (pp. 191–210). San Diego: Academic Press.

Lee, P. M. (1982). Are there really signs of diglossia? Re-examining the situation. Sign Language Studies, 35, 127–152.

Reilly, J., & McIntire, M. (1980). American Sign Language and pidgin sign English: What’s the difference? Sign Language Studies, 27, 151–192.

Stokoe, W. (1969). Sign language diglossia. Studies in Linguistics, 21, 27–41.

Valli, C. (1988). Language choice: Convergence and divergence. Unpublished manuscript, Gallaudet University, Washington, DC.

Woodward, J. (1973). Some characteristics of pidgin sign English. Sign Language Studies, 3, 39–46.

Woodward, J., & Markowicz, H. (1975). Some handy new ideas on pidgins and Creoles: Pidgin sign languages. Paper presented at the Conference on Pidgin and Creole Languages, Hawaii.

1. American Sign Language (ASL) is the visual-gestural language used by members of the Deaf community in the United States. It is a natural language with an autonomous grammar that is quite distinct from the grammar of English. ASL is also quite distinct from artificially developed systems that attempt to encode English that can include the use of speech, ASL signs, and invented signs used to represent English morphemes. There are a number of such systems, which are often referred to by the generic term signed English.

2. Based on a preliminary examination of the linguistic and sociolinguistic data, we are reluctant at this point to call the contact signing that we have observed a variety or a dialect, and the absence of such labels in the present study is conscious. Further study may reveal the need for such a label.

3. An extensive account of the study, including a description of the linguistic features of contact signing and an explanation as to why it is not appropriate to characterize it as a pidgin, can be found in C. Lucas and C. Valli’s Language Contact in the American Deaf Community (San Diego: Academic Press, 1992).

4. For readers not familiar with the American Deaf community, a word of explanation about the central role of the residential school is perhaps in order: since 5 percent or less of Deaf children are born to Deaf parents (and hence have access to ASL as a native language), the residential schools for the deaf have been the crucibles of language acquisition since their inception. Many Deaf children acquire ASL as their primary language from their peers in the context of the residential school. Many Deaf children from Deaf families also attend residential schools and frequently assume the role of language models for their peers. Conversely, children in mainstream programs often end up with no exposure to sign language at all, or with exposure via hearing, non-native signers, such as interpreters or teachers.

5. The entire methodology was first designed and employed by Robert E. Johnson, Scott Liddell, Carol Erting, and Dave Knight in a pilot project entitled “Sign Language and Variation in Context,” sponsored by the Gallaudet Research Institute.

6. For a complete discussion of the concept of deafness as ethnicity, see Johnson and Erting (1989).

Annotate

Next Chapter
Sociolinguistic Aspects of the Black Deaf Community
PreviousNext
All rights reserved
Powered by Manifold Scholarship. Learn more at
Opens in new tab or windowmanifoldapp.org